• Предмет: Математика
  • Автор: nasteamihasi
  • Вопрос задан 8 лет назад

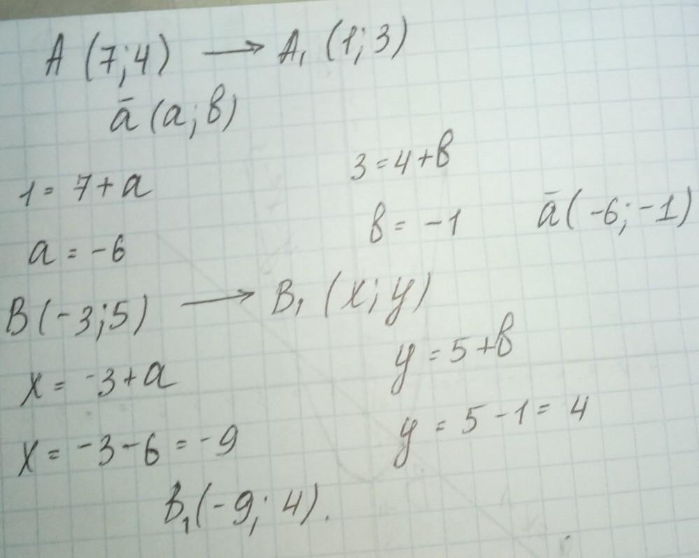
Образом точки А(7:4) при параллельном переносе является точка А1(1;3)
Найдите образ точки В(-3;5)
Пожалуйста помогите даю 20 баллов.
Очень срочно нужно!!!!!!

Ответы

Ответ дал: maylytail
0

Ответ: В1 (-9;4)

Решение на фото.

Приложения:
Вас заинтересует