• Предмет: Математика
  • Автор: nikitianina
  • Вопрос задан 8 лет назад

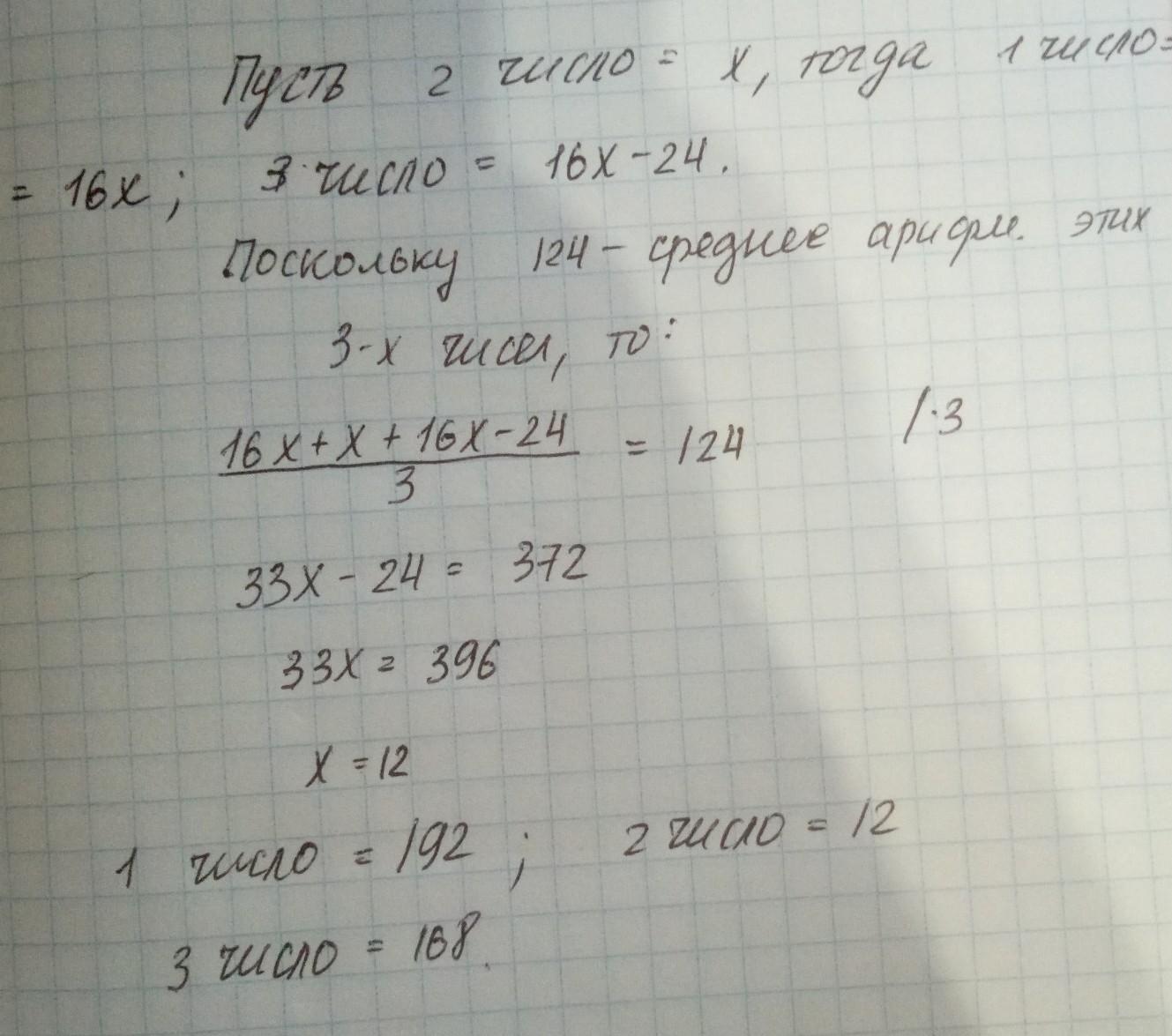
среднее арфмитическое трёх чисел равно 124.Первое число в 16 раз больше второго,а третье число на 24 меньше первого . Найдите каждое из этих чисел​

Ответы

Ответ дал: maylytail
0

Ответ: 1 число = 192; 2 число = 12; 3 число = 168.

Приложения:
Вас заинтересует