• Предмет: Алгебра
  • Автор: MityPushok
  • Вопрос задан 8 лет назад

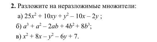
РАЗЛОЖИТЬ НА НЕРАЗЛОЖИМЫЕ МНОЖИТЕЛИ МНОГОЧЛЕН

ДАЮ 50 БАЛЛОВ!!!!!!!

Приложения:

Ответы

Ответ дал: table123
0

Ответ:

Объяснение:

а) =(5x+y)^2-2(5x+y)=(5x+y)(5x+y-2)

б) =(a^3+(2b)^3)(a^2-2ab+4b^2)=(a+2b)(a^2-2ab+4b^2)+(a^2-2ab+4b^2)=(a^2-2ab+4b^2)(a+2b+1)

в) =x^2+8x+16-16-(y^2+6y+9-9)+7=(x+4)^2-16-(y+3)^2+9+7=(x+4)^2-(y+3)^2=(x+4+y+3)(x+4-y-3)=(x+y+7)(x-y+1)

Вас заинтересует