• Предмет: Математика
  • Автор: leracat6881
  • Вопрос задан 8 лет назад

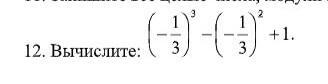
помогите мне пожалуйста.​

Приложения:

Ответы

Ответ дал: АнгелЛю
0

Ответ:

23 двадцать седьмых

Пошаговое объяснение: 23 'дробь' 27

Вас заинтересует