• Предмет: Алгебра
  • Автор: крюгер2001
  • Вопрос задан 8 лет назад

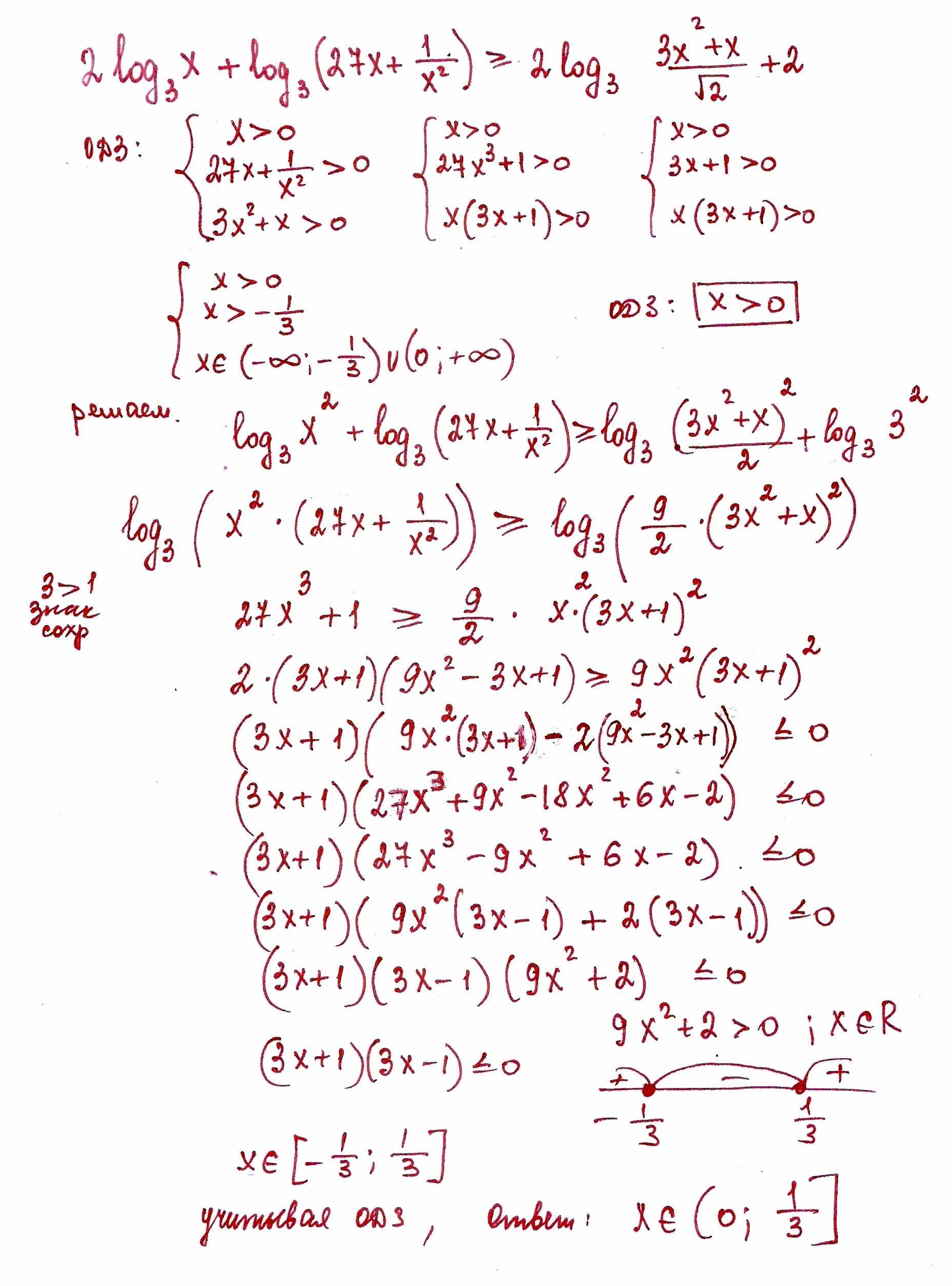
Решите неравенство. С подробным решением. 15 задание

Приложения:

Ответы

Ответ дал: maksimcat
0

Ответ:

Объяснение:

ответ на фото\\\\\\\\\\\\\\\\\\\\\\\\\\\\\\

Приложения:
Ответ дал: крюгер2001
0
Когда решаешь 27x + 1/x^2 в ОДЗ, x не может быть равен нулю. А у тебя просто x> -1/3 получается
Ответ дал: maksimcat
0
я учитываю, что х не равен нулю в ограничении что х>0
Ответ дал: maksimcat
0
но можете указать конкретно, что х не равен нулю
Вас заинтересует