Помогите пожалуйста с заданием
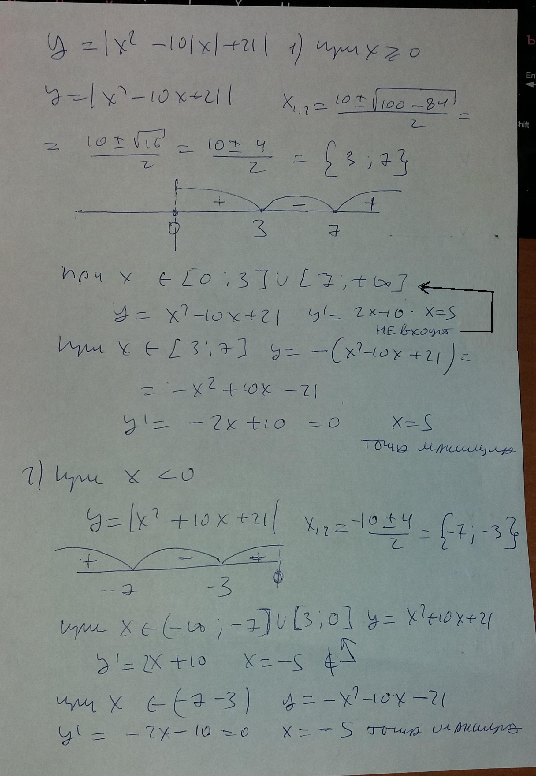
Найдите сумму значений функции y=|x^2 -10|x| + 21| в точках максимума
Ответы
Ответ дал:
0
Ответ:
Пошаговое объяснение:
Приложения:


Ответ дал:
0
сейчас допишу
Вас заинтересует
2 года назад
2 года назад
3 года назад
3 года назад
8 лет назад
8 лет назад
9 лет назад
9 лет назад