• Предмет: Алгебра
  • Автор: edemdzheydanp4g6h8
  • Вопрос задан 8 лет назад

Помогите нид хелп срочнооо

Приложения:

Ответы

Ответ дал: сок111213
0

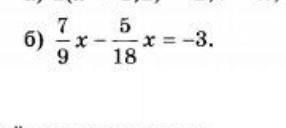
 frac{7}{9} x -  frac{5}{18} x =  - 3 \  frac{14}{18} x -  frac{5}{18} x =  - 3 \  frac{9}{18} x =  - 3 \  frac{1}{2} x =  - 3 \ x =  - 3 div  frac{1}{2}  \ x =  -  frac{3 times 2}{1}  \ x =  - 6

Ответ дал: Аноним
0

Ответ:

Пошаговое объяснение:

7/9х-5/18х=-3

14х-5х=-54

=-54

Х=-54 : 9

Х =-6

Удачи)

Вас заинтересует