• Предмет: Алгебра
  • Автор: kartoshka17
  • Вопрос задан 8 лет назад

20 БАЛЛОВ
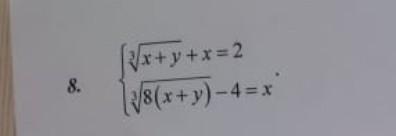
Решить систему ​

Приложения:

Ответы

Ответ дал: maksimcat
0

Ответ:

left { {{sqrt[3]{x+y}+x=2 } atop {sqrt[3]{8(x+y)} -4=x}} right.<=> left { {{-2sqrt[3]{x+y}-2x=-4 } atop {2sqrt[3]{x+y} -x=4}} right. \ \ -3x=0;x=0\ \ sqrt[3]{y} =2;y=8\ \ OTVET:(0;8)

Объяснение:

Ответ дал: Universalka
0
Красивое решение
Ответ дал: aleksoref
0
Помогите пожалуйста
https://znanija.com/task/32421562
Вас заинтересует