• Предмет: Математика
  • Автор: Andreyznatok
  • Вопрос задан 8 лет назад

Решите пожалуйста данный пример

Приложения:

Ответы

Ответ дал: mefody66
0

Ответ:

Пошаговое объяснение:

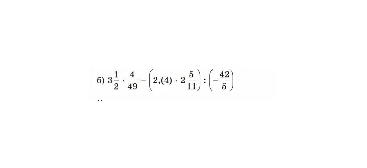
3 1/2*4/49 - (2,(4)*2 5/11) : (-42/5) = 7/2*4/49 + (2 4/9*2 5/11) : 42/5 =

7/49*4/2 + 22/9*27/11*5/42 = 1/7*2 + 22/11*27/9*5/42 = 1/7*2 + 2*3*5/42 =

= 2/7 + 5/7 = 7/7 = 1

Тут кому-то показалось, что 2,(4) не равно 2 целых 4/9, но на самом деле это так и есть.

Ответ дал: WhatYouNeed
0

2,(4) это 2 целых и 4 десятых в периоде, то есть 2,444...

Это можно представить в виде обыкновенной дроби как 2 и 4/9. Посчитаем выражение.

3frac{1}{2}*frac{4}{49}-(2,(4)*2frac{5}{11}):(frac{-42}{5})=\\frac{7}{2}*frac{4}{49}+(frac{18+4}{9}*frac{27}{11})*(frac{5}{42})=\\frac{2}{7}+frac{2*11*9*3*5}{9*11*2*3*7}=\\frac{2}{7}+frac{5}{7}=frac{7}{7}=1\\Otvet:1.

Вас заинтересует