• Предмет: Математика
  • Автор: immortal556
  • Вопрос задан 8 лет назад

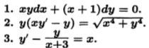
Решить систему уравнений

Приложения:

Ответы

Ответ дал: HSS9860
0

Рассмотрите предложенное решение; ответы не проверялись.

Приложения:
Вас заинтересует