Ответы
Ответ дал:
0
Ответ:
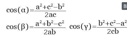
А39,B55,C86
Объяснение:
Приложения:


Ответ дал:
0
Спасибо, можно фотографию решения?
Ответ дал:
0
лови
Вас заинтересует
2 года назад
3 года назад
8 лет назад
8 лет назад
9 лет назад