• Предмет: Математика
  • Автор: gasprom22886
  • Вопрос задан 8 лет назад

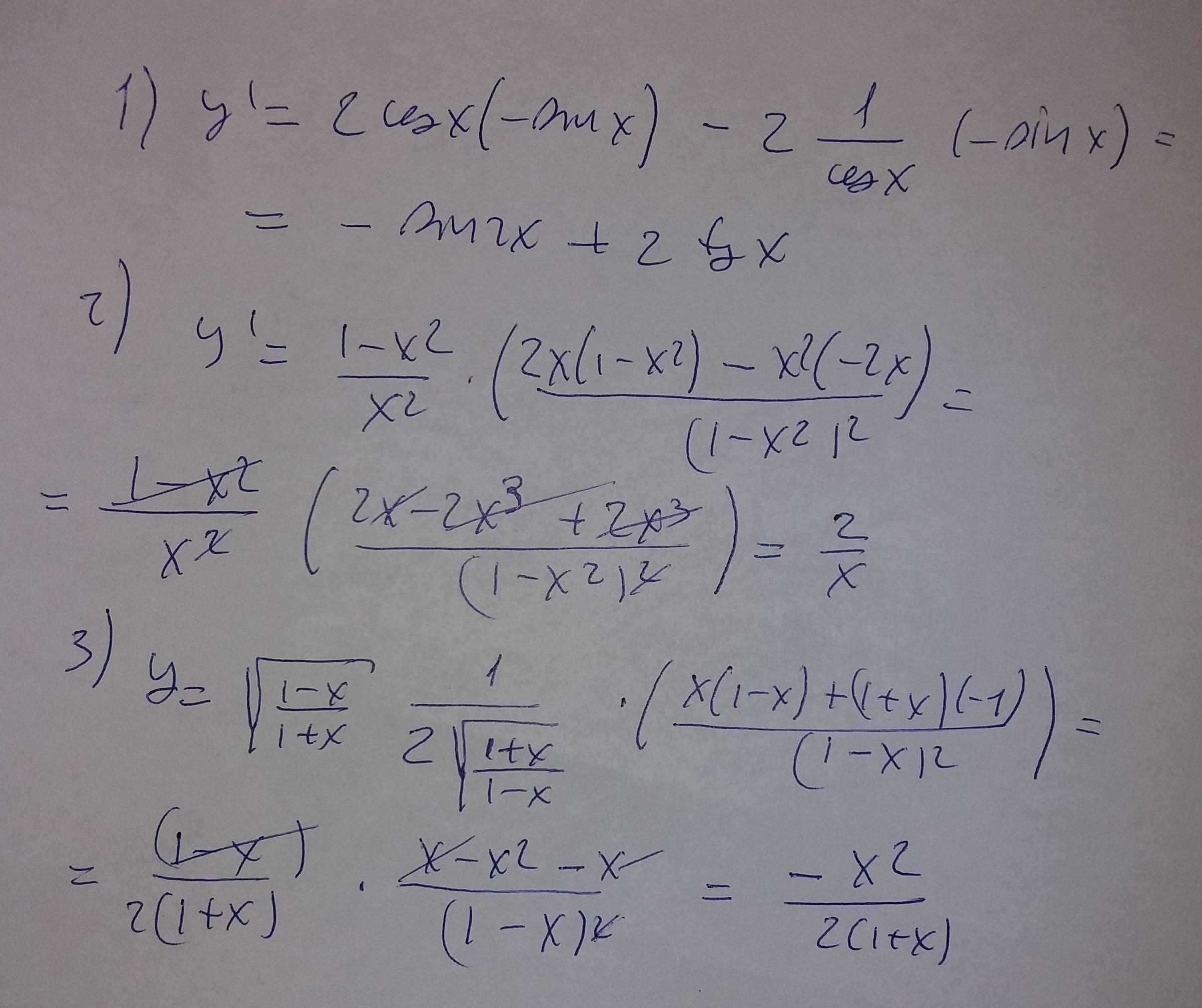
Найти производную функции:
(которые 1,2,3)

Приложения:

Ответы

Ответ дал: bena20193
0

Ответ:

Пошаговое объяснение:

Приложения:
Вас заинтересует