• Предмет: Алгебра
  • Автор: toniiiiiiiii35
  • Вопрос задан 8 лет назад

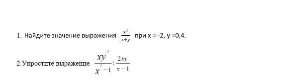
ХЕЛППППППП, СРОЧНООООООООООО​

Приложения:

Ответы

Ответ дал: SalyukDasha
0

Ответ: -5

Объяснение:

X³ = - 2³ = 8

X+Y = -2 +0.4=-1.6

8/(-1.6)=5

Вас заинтересует