Ответы
Ответ дал:
0
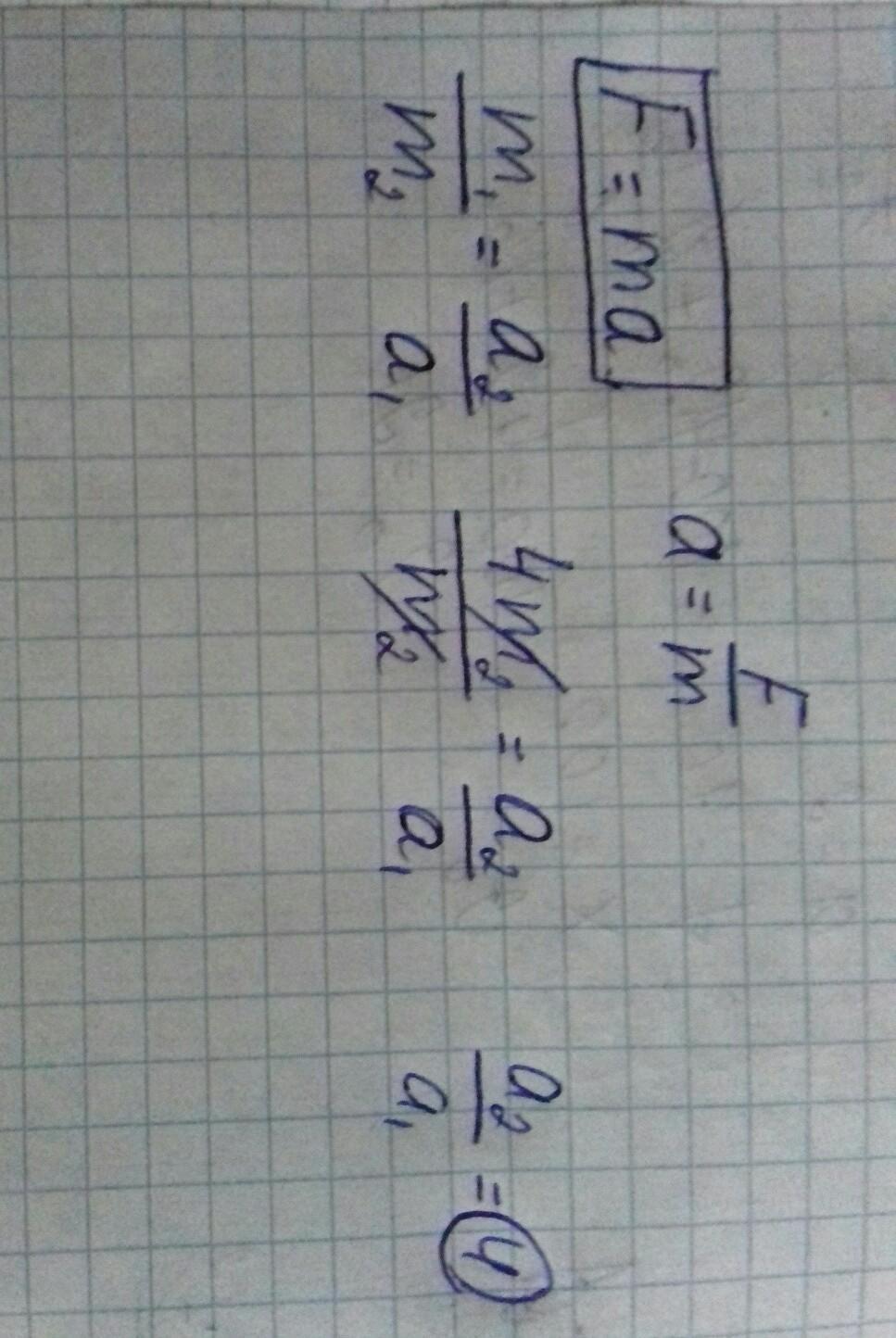
F=ma, a2/a1=(F2/m2)*(m1/F1)== 4*m2/m2= 4 -ответ
Ответ дал:
0
все ответ готов! вот пожалуйста
Приложения:

Ответ дал:
0
помогите пожалуйста
https://znanija.com/task/32411656?utm_source=android&utm_medium=share&utm_campaign=question
https://znanija.com/task/32411656?utm_source=android&utm_medium=share&utm_campaign=question
Ответ дал:
0
братан здарова можешь дать номер тг ?
Ответ дал:
0
телеграма
Ответ дал:
0
если че буду просить ответы на задания
Ответ дал:
0
буду деньги кидать
Вас заинтересует
2 года назад
2 года назад
3 года назад
8 лет назад
9 лет назад