• Предмет: Математика
  • Автор: lerok5000l
  • Вопрос задан 8 лет назад

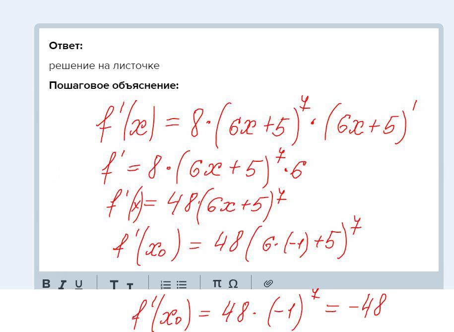
найти значение производной функции f(x)=(6x+5)^8 x0=-1​

Ответы

Ответ дал: vavdovina55
0

Ответ:

решение на листочке

Пошаговое объяснение:

Приложения:
Вас заинтересует