• Предмет: Математика
  • Автор: arisha06041087
  • Вопрос задан 8 лет назад

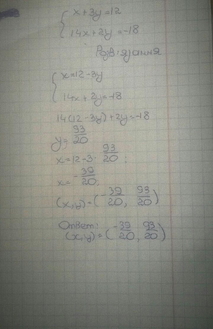
2. Решите систему уравнений:
х+ Зу = 12
14х + 2y = -18

Ответы

Ответ дал: annahappy13
0
Ответ : (х, у) =(-39/20, 93/20)
Приложения:
Вас заинтересует