Ответы
Ответ дал:
0
Ответ:
х=3, у=-1
Объяснение:
сложим почленно ( как в столбик) два уравнения
получим
2х=6
х=3, подставим полученное значение в 1-е уравнение
3-у=4
-у=4-3
у=-1
Ответ дал:
0
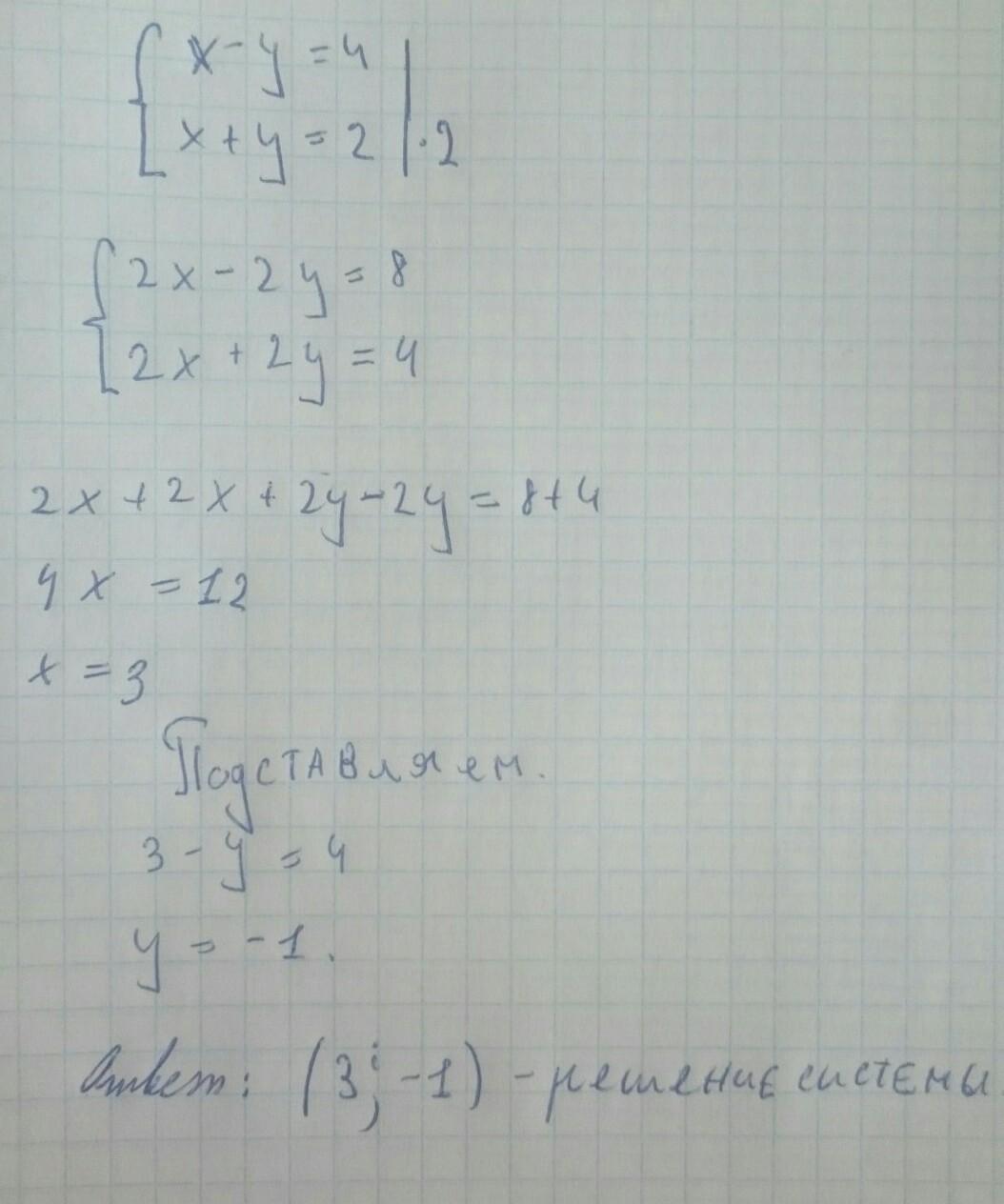
вот твоё решение ; решал методом сложения)
Приложения:

Вас заинтересует
2 года назад
2 года назад
3 года назад
8 лет назад
8 лет назад
9 лет назад