• Предмет: Алгебра
  • Автор: Murex
  • Вопрос задан 8 лет назад

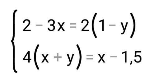
Решить систему уравнения

Приложения:

Ответы

Ответ дал: dlkpqkdh
0

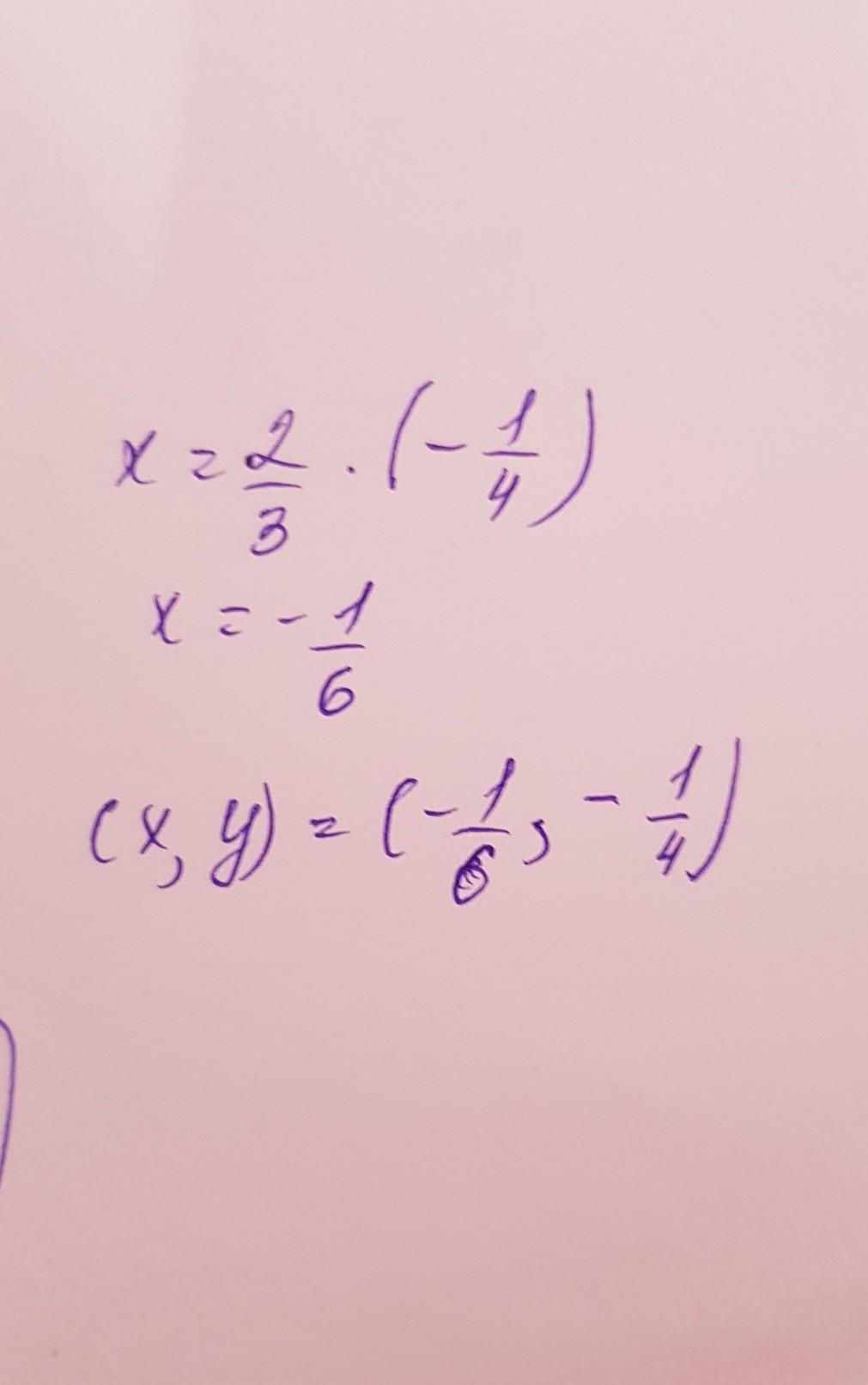
Ответ:

(x,y) = (-1/6, -1/4)

Объяснение:

Приложения:
Ответ дал: iskandarovagulifor
0

ответ:(x,y)=(-1÷6,-1:4)

Приложения:
Вас заинтересует