• Предмет: Математика
  • Автор: ffe9ag8ccqxa
  • Вопрос задан 8 лет назад

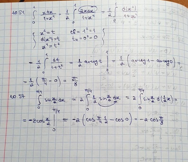
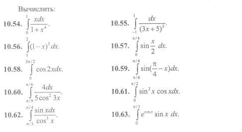
Помогите пожалуйста 10.54,10.57

Приложения:

Ответы

Ответ дал: Miroslava227
0

решение на фотографии

Приложения:
Вас заинтересует