Ответы
Ответ дал:
0
Ответ:
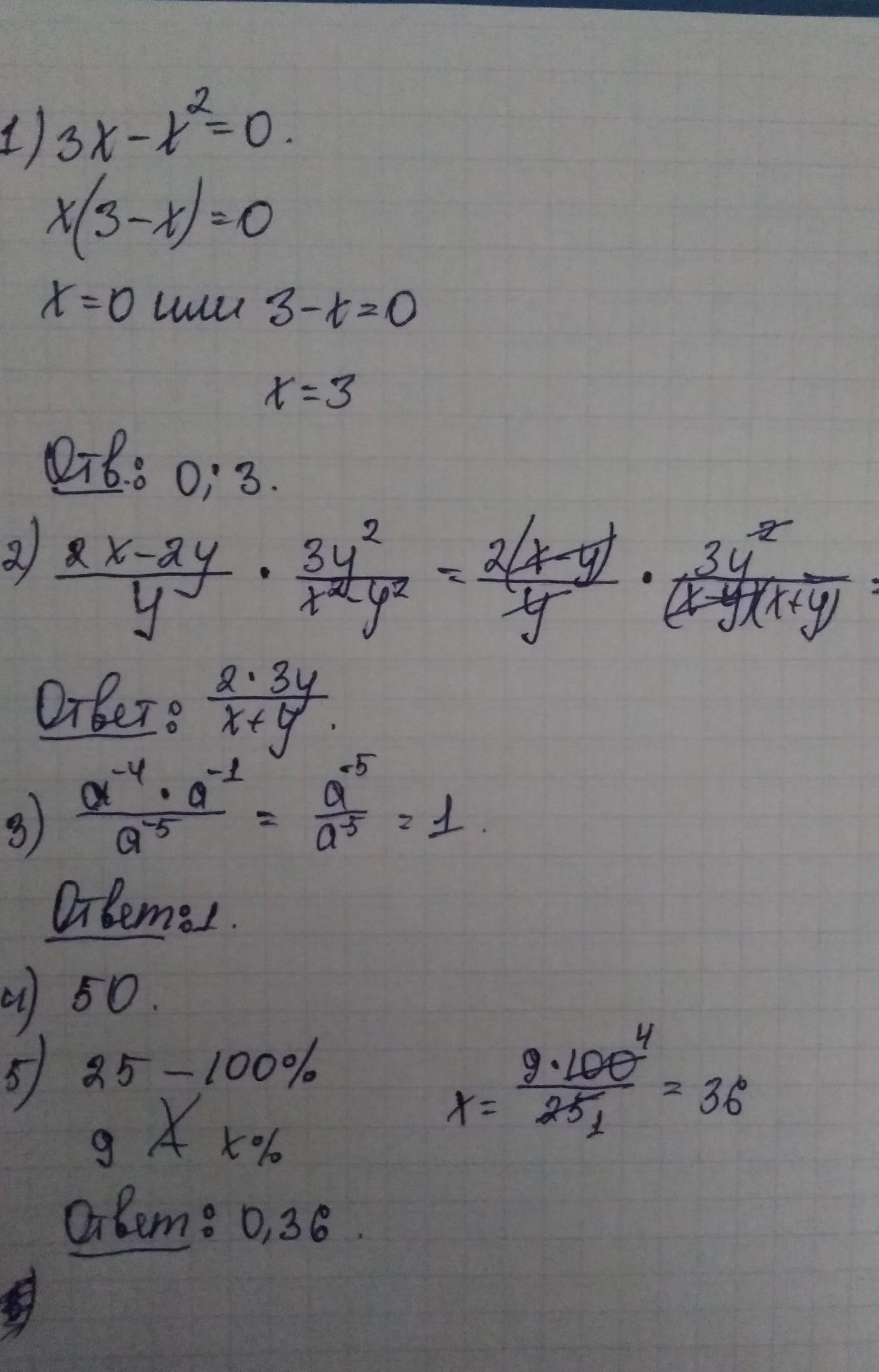
сделала только с 1 го по 6ой.
Приложения:


Вас заинтересует
2 года назад
2 года назад
8 лет назад
8 лет назад
9 лет назад