• Предмет: Математика
  • Автор: BublikDemon
  • Вопрос задан 8 лет назад

Даю 10 балів
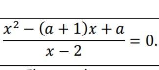
Для кожного значення а розв'яжіть рівняння

Приложения:

Ответы

Ответ дал: masha20051290
0

одз:2

домножить на х-2

выйдет

х²-(а+1)х+а=0

х²-ах+х+а=0

делим на ах

х/а-1+1/а+1/х=0

замена: 1/а=у

х×у-1+у+1/х=0

переносим у

х-1+у+1/х=0

х-1+1=-у

у=-х

пов. к зам.:

сукупнасть

1/а=-х

х×-х-1-х+1/х=0

-х²-1-х+1/х=0

х²+1+х=-1/х

одз:0

(х²+1+х)х=-1

х(х²+1)+(х²+1)=0

(х²+1)(х+1)=0

система

х²+1=0

х+1=0

х²≠-1

х=-1

в-дь:-1

Вас заинтересует