• Предмет: Алгебра
  • Автор: trap67
  • Вопрос задан 8 лет назад

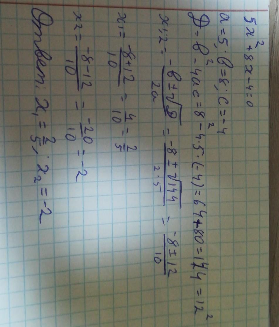
найти сумму корней уравнения 5х²+8х-4=0​

Ответы

Ответ дал: oleg7581
0

Ответ:

Держи решение твоего примера

Приложения:
Ответ дал: trap67
0
спасибо большое за помощь!
Ответ дал: oleg7581
0
Мне не сложно
Ответ дал: oksanashyvalova15
0

Ответ:

5x {}^{2}  + 8x - 4 = 0 \ 8  {}^{2} { - 4 times 5 times ( - 4)} = 64 + 80 = 144. =

а корень из 144=12

откуда x1=

 frac{ - 8 - 12 }{5 times 10}  =   frac{-20}{10}   =- 2

а x2=

 frac{ - 8 + 12}{20}  =  frac{4}{10}  = 0,4

Приложения:
Вас заинтересует