• Предмет: Математика
  • Автор: 02112006
  • Вопрос задан 8 лет назад

помогите пожалуйста 6 класс
все три примера заранее спасибо☺​

Приложения:

Ответы

Ответ дал: binamaksimchuk
0

Ответ:

Пошаговое объяснение:

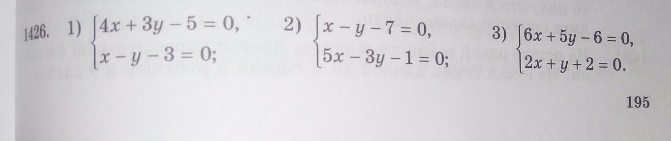
4х+3у=5

х-у=3

4х+3у=5

х=3+у

4*(3+у)+3у=5

12+4у+3у=5

7у=5-12

7у= -7

у= -1

4х+3*(-1)=5

4х-3=5

4х=8

х=8:4

х=2 Ответ(2;-1)

№2

х-у=7

5х-3у=1

х=7+у

5(7+у)-3у=1

35+5у-3у=1

2у=1-35

у=-34:2

у=-17

х=7-17

х=-10  Ответ:(-10;-17)

№3

6х+5у=6

2х+у= -2 *-5

6х+5у=6

-10х-5у=10

-4х=16

х=16:(-4)

х= -4

2*(-8)+у= -2

-16+у=-2

у= -2+16

у=14  Ответ:(-4;14)

Ответ дал: 02112006
0
а почему цифры у тебя не такие как в учебнике
Ответ дал: 02112006
0
???
Ответ дал: binamaksimchuk
0
С Учебника ты надеюсь можешь переписать самостоятельно,а я уже сразу решаю.
Ответ дал: 02112006
0
Ааа понятно спасибо я просто с начало не поняла
Вас заинтересует