• Предмет: Математика
  • Автор: rnv56
  • Вопрос задан 8 лет назад

ученикам 6 класса ВОПРОС
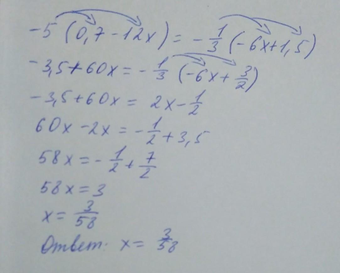
Решите уравнение:
-5(0,7-12x)=-1/3(-6x+1,5)

Ответы

Ответ дал: fekkus
0

Проверку делать не нужно, так как нет дробных чисел, чтобы в дроби присутствовал х, по О.Д.З х - любое число

(О.Д.З - область допустимых значений)

Приложения:
Вас заинтересует