• Предмет: Математика
  • Автор: Desillionpluh
  • Вопрос задан 8 лет назад

Объясните подробно каждый шаг в решении данного уравнения

Приложения:

Ответы

Ответ дал: hello93
0

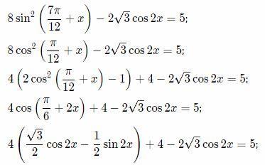
Первым действием используют формулы приведения .

 sin( frac{7pi}{12}  + x) {}^{2}   =  sin( frac{pi}{2} +  frac{pi}{12} + x  )  {}^{2}  =  cos( frac{pi}{12} + x )  {}^{2}

Дальше приводят к формуле косинуса двойного угла.

 cos(2 alpha )  = 2 cos( alpha )  {}^{2}  - 1

Для этого добавляют у вычитают 4 и сразу же выносят ее за скобку.

Потом сворачивают по формуле и используют формулу

 cos( alpha  +  beta )  =  cos( alpha )  cos( beta  )  -  sin( alpha )  sin( beta )

Теперь раскроем скобки и досчитаем уравнение

2 sqrt{3}  cos(2x)  - 2 sin(2x)  + 4 - 2 sqrt{3}  cos(2x)  = 5 \  - 2 sin(2x)  + 4 = 5 \  - 2 sin(2x)  = 1 \  sin(2x)   =   -  frac{1}{2}  \ 2x =  -  frac{pi}{6}  + 2pi  k \ 2x =  -  frac{5pi}{6}  + 2pi k \ x =  -  frac{pi}{12}  + pi k \ x =  -  frac{5pi}{12}  + pi k

Везде нужно дописать

k in mathbb  Z

Ответ дал: Desillionpluh
0
а по какой формуле удалось свернуть?
Ответ дал: hello93
0
косинус двойного угла(она написана выше)
Ответ дал: Desillionpluh
0
аа, дошло, мы домножили на два и поэтому в скобках пи/6 + 2х
Ответ дал: Desillionpluh
0
спасибо, Дружище!
Вас заинтересует