Ответы
Ответ дал:
0
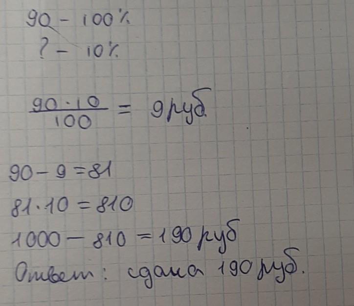
мы нашли сначала 10% от первоначальной стоимости т.е. 9₽
потом нашли цену кружки соскидкой
умножили кружки на 10 т.к. покупатель купил именно это количесто,получилось 810₽
и в итоге мы вычли стоимость кружек из 1000₽,которые покупатель отдал кассиру
Приложения:


Вас заинтересует
2 года назад
2 года назад
3 года назад
3 года назад
8 лет назад
8 лет назад
9 лет назад