• Предмет: Математика
  • Автор: jamilia74
  • Вопрос задан 8 лет назад

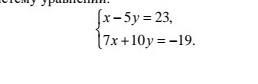
помогите умоляю прошу завтра сор объясните как надо решать ч не пойму даю 10 балла умоляю вас прошу ​

Приложения:

Ответы

Ответ дал: 11111tvin11111
0

Ответ:

Решение и объяснение на фото.

2 способа

Пошаговое объяснение:

Приложения:
Вас заинтересует