• Предмет: Математика
  • Автор: qernisesa
  • Вопрос задан 8 лет назад

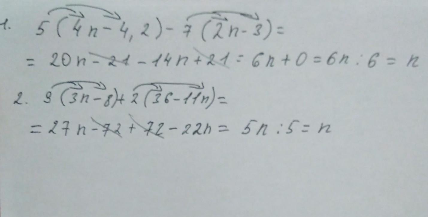
Докажите что при любом натуральном значении n значение выражения:
1) 5(4n – 4,2) – 7(2n – 3) кратно 6;
2) 9(3n – 8) + 2(36 – 11n) кратно 5,

Ответы

Ответ дал: fekkus
0

если коэффициент делится на данное число без остатка, то и произведение делится на данное число без остатка.

Приложения:
Ответ дал: qernisesa
0
спасибо
Вас заинтересует