• Предмет: Математика
  • Автор: amina6775
  • Вопрос задан 8 лет назад

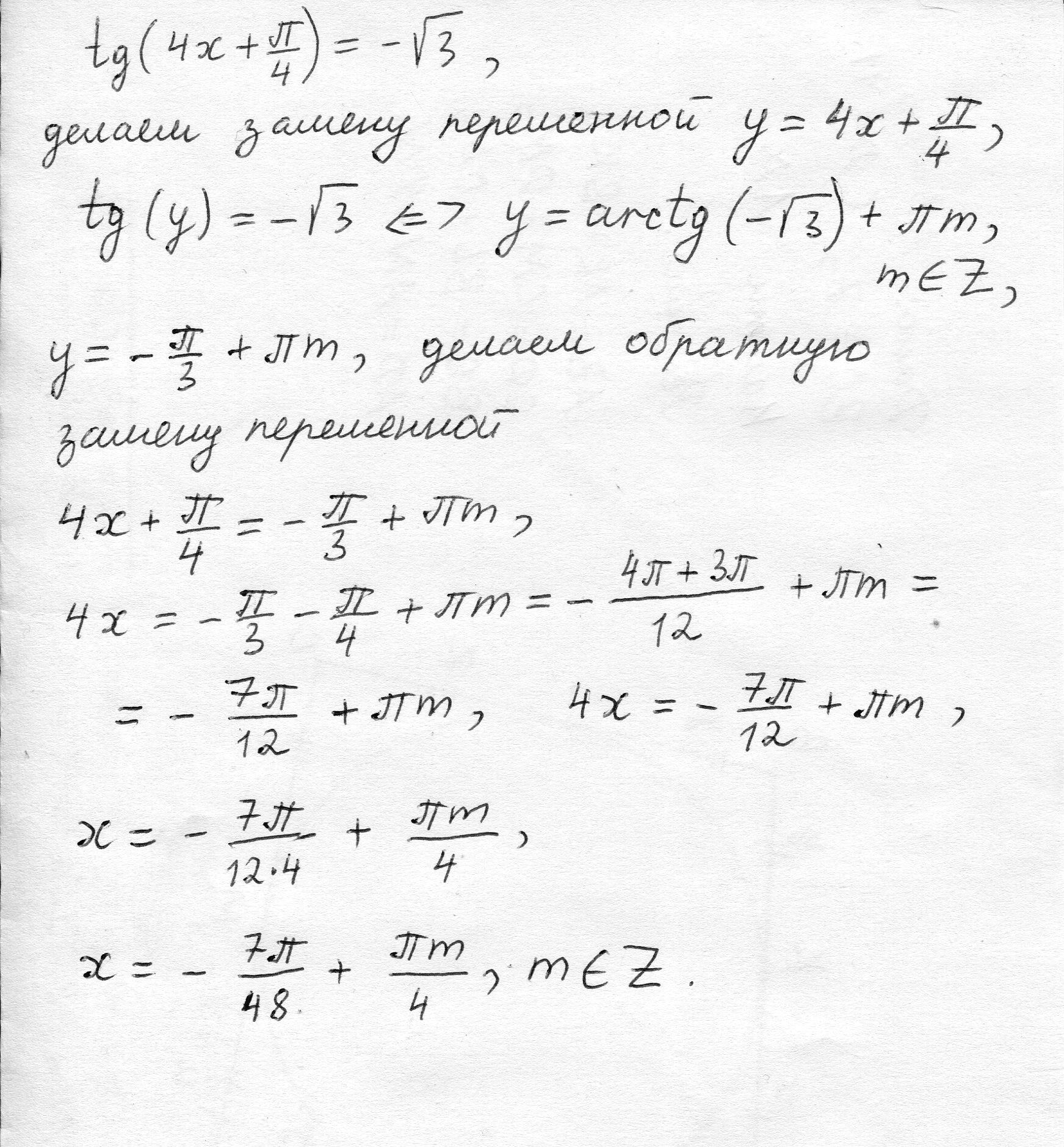
tq(4x+пи/4)=-√3
пожалуйста помогите решить задание 10 класса​

Приложения:

Ответы

Ответ дал: dubinushka24
0

Я написал решение на листочке ===>>

Приложения:
Ответ дал: dubinushka24
0
спрашивай.
Ответ дал: amina6775
0
там есть разница "m принадлежит целому числу"
Ответ дал: amina6775
0
мы всегда пишем n
Ответ дал: dubinushka24
0
m пробегает все целые числа, можешь вместо m писать n, суть от этого не изменится
Ответ дал: amina6775
0
СПАСИБО!!!
Вас заинтересует