• Предмет: Алгебра
  • Автор: roniiiiiiiii
  • Вопрос задан 8 лет назад

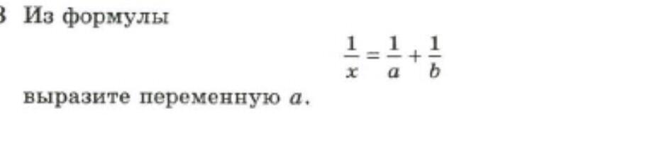
СРОЧНОООООООООООООООО​

Приложения:

Ответы

Ответ дал: makser890
0

Ответ:

смотрите фото

Объяснение

Приложения:
Вас заинтересует