• Предмет: Математика
  • Автор: figni0909
  • Вопрос задан 8 лет назад

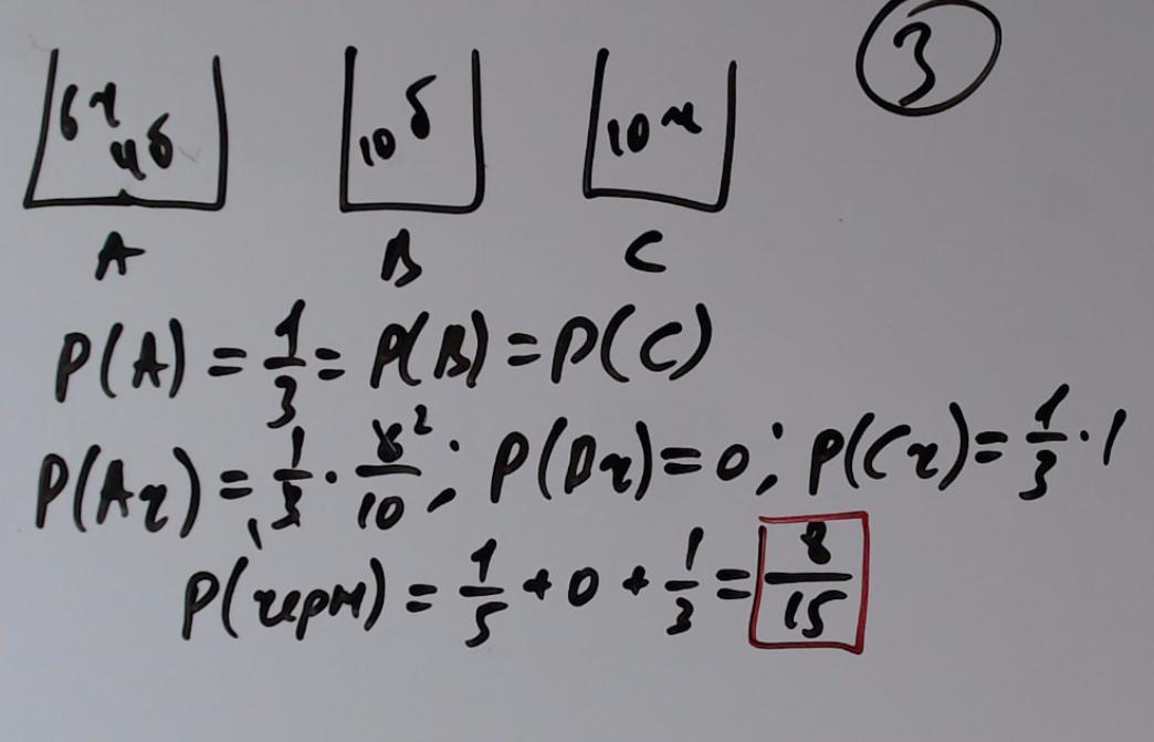
Срочно помогите пожалуйста 3 и 4 задание, желательно с решением, и чтобы ответ был дробью. Спасибо

Приложения:

Ответы

Ответ дал: 102938456771
0

Ответ:

Ответы на картинке

Пошаговое объяснение:

Приложения:
Вас заинтересует