• Предмет: Алгебра
  • Автор: vgd49
  • Вопрос задан 8 лет назад

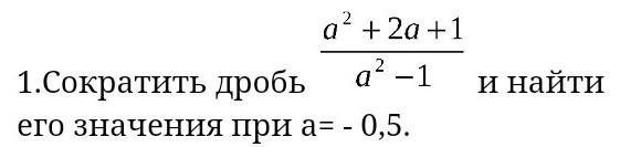
Помогите с алгеброй(срочно) ​

Приложения:

Ответы

Ответ дал: ник121
0

Ответ:

-1/3

Объяснение:

Решение на фото

Приложения:
Вас заинтересует