• Предмет: Алгебра
  • Автор: Саша0416
  • Вопрос задан 8 лет назад

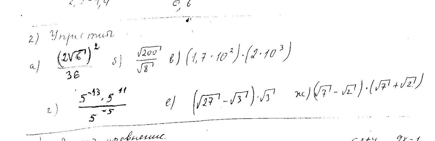
Помогите с алгеброй,пожалуйста . Задание во вложениях

Приложения:

Ответы

Ответ дал: akzeromirzak89
0

Ответ:

4*6÷36=4÷6

√200÷8=√25=5

1.7*100*2*1000=340000

0.000000512÷0.00032=0.0016

√27×√3-√3×√3=√81-√9=9-3=6

√7*√7-√2*√2=√49-√4=7-2=5

Объяснение:

Вас заинтересует