• Предмет: Алгебра
  • Автор: MariyaJansen
  • Вопрос задан 8 лет назад

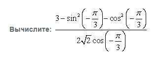
Вычислите значение выражения

Приложения:

Ответы

Ответ дал: Samira25032005
0

 frac{3   +  { sin}^{2}60 +  { cos}^{2} 60 }{2 sqrt{2} cos60 }  =  \  frac{4}{2 sqrt{2}  times  frac{1}{2} }  =  frac{4}{ sqrt{2} }  = 2 sqrt{2}

кажется так должно быть

Вас заинтересует