Ответы
Ответ дал:
0
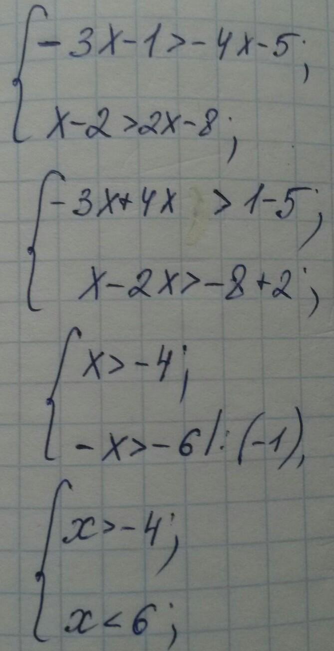
Вот решение системы неравенств. Удачи :)
Приложения:


Вас заинтересует
2 года назад
3 года назад
8 лет назад
8 лет назад
9 лет назад