• Предмет: Алгебра
  • Автор: vitaliymironov8
  • Вопрос задан 8 лет назад

СРОЧНО ДАЮ 20 БАЛОВ!!!

Приложения:

Ответы

Ответ дал: NNNLLL54
0

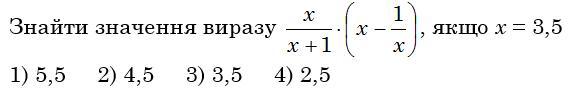
frac{x}{x+1}cdot (x-frac{1}{x})=frac{x}{x+1}cdot frac{x^2-1}{x}=frac{x}{x+1}cdot frac{(x-1)(x+1)}{x}=x-1=3,5-1=2,5

Вас заинтересует