• Предмет: Алгебра
  • Автор: rassarluul
  • Вопрос задан 8 лет назад

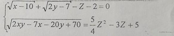
помогите решить систему


Приложения:

Ответы

Ответ дал: usercomfy210820184
0

Ответ:

Объяснение:

Огонь

Ответ дал: rassarluul
0
круто
Ответ дал: mathgenius
0

Ответ:  z=2 ; x=14 ;y=5.5

Объяснение:

Преобразуем  вторую часть уравнения под радикалом:

2xy-7x-20y+70=x*(2y-7)  -10*(2y-7)=(x-10)*(2y-7)

Найдем дискриминант  квадратного уравнения относительно z:

5/4 *z^2  -3z+5=0 (a>0-  ветви параболы идут вверх)

5z^2-12z+20=0

D/4=6^2-5*20<0  

Вывод:  тк a>0  и D<0 ,то  парабола  положительна при  любом z.

ОДЗ:

x>=10

y>=7/2

z+2>=0 ; z>=-2 (тк  сумма  радикалов неотрицательна).

Делаем замены:

√x-10 =a>=0

√2y-7=b>=0

a+b=z+2     → (a+b)^2=(z+2)^2   →  1) a^2+2ab+b^2=z^2+4z+4

ab=5/4 *z^2-3z+5

2 ) 4ab=5z^2-12z+20

Вычтем из  уравнения 1 уравнение 2:

a^2-2ab+b^2=-4z^2+16z-16

(a-b)^2=- (4z^2-16z+16)

(a-b)^2=-(2z-4)^2

Очевидно,что тк  (2z-4)^2>=0 ,то  -(2z-4)^2<=0.

Но  тк  (a-b)^2>=0 , то и  -(2z-4)^2>=0

Из этих двух  условий выходит что:

2z-4=a-b=0

z=2 (удовлетворяет ОДЗ)

a=b

из уравнения: a+b=z+2

2a=4

a=b=2>0  (удовлетворяет ОДЗ)

Вернемся к заменам:

√(x-10)=2

x-10=4

x=14 (удовлетворяет ОДЗ)

√(2y-7)=2

2y-7=4

y=11/2=5.5 (удовлетворяет ОДЗ)

Ответ: z=2 ; x=14 ;y=5.5

Вас заинтересует