Даю все балы(34 баллов)!!!!!Помогите!!!!Решите мне пожалуйста то-что на фотке!!!!Зараниее спасибо!!!!
Приложения:

Ответы
Ответ дал:
0
Вот))) держи это кстати немного сложно
Приложения:

Ответ дал:
0
Там первое так пишется: (a-6)3*a17=a-18-a17=1/a18-a17=1-a35/a18;
И да, все цифры которые написаны должны быть в виде степеня(просто на телефоне нет такой функции) и / значит дроб!!!!!!!!
И да, все цифры которые написаны должны быть в виде степеня(просто на телефоне нет такой функции) и / значит дроб!!!!!!!!
Ответ дал:
0
Ответ:
Объяснение:
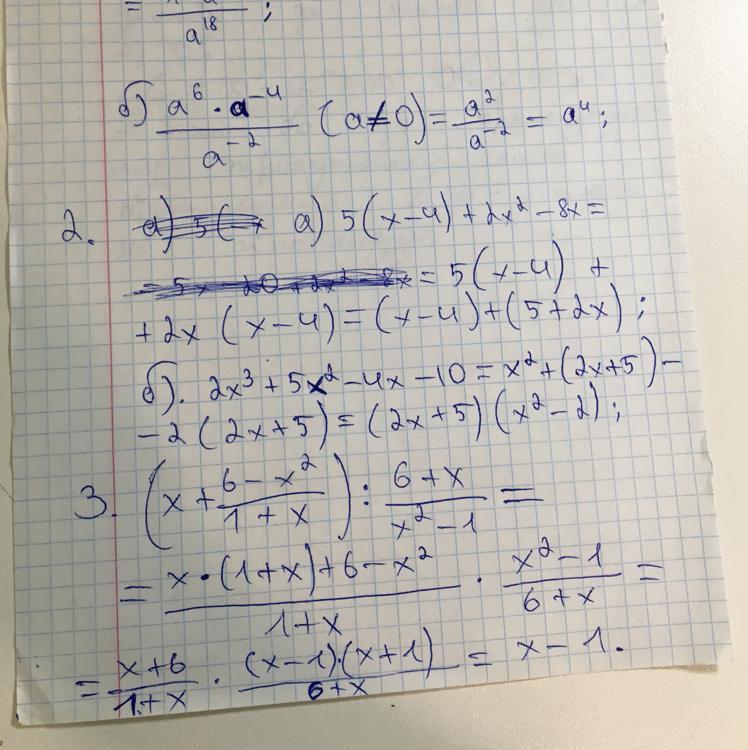
1.a)
(a^(-6))^3(a^17)=a^(-18)(a^17)=a^(-1)=1/a
б) (a^6*a^(-4))/a^(-2)=a^2/a^(-2)=a^4
2.
a) 5(x-4)+2x^2-8x=5(x-4)+2x(x-4)=
=(5+2x)(x-4)
б) 2x^3+5x^2-4x-10=2x(x^2-2)+5(x^2-2)=(2x+5)(x^2-2)
3.
(x+(6-x^2)/(1+x))÷((6+x)/(x^2-1))=(x+x^2+6-x^2)/(1+x)*((x^2-1)/(6+x))=(x+6)/(1+x)*((x^2-1)/(6+x))=x-1
Приложения:

Вас заинтересует
2 года назад
3 года назад
3 года назад
8 лет назад
8 лет назад
9 лет назад