• Предмет: Математика
  • Автор: SREGsRag
  • Вопрос задан 8 лет назад

Пж решите! И отправьте фоткой! Чтоб я разобрался легче! Пожалуйста​

Приложения:

Ответы

Ответ дал: ХЕЛИКОПТЕР
0

Вот решение системы способом подстановки. Удачи :)

Приложения:
Ответ дал: SREGsRag
0
спасибо
Ответ дал: ХЕЛИКОПТЕР
0
не за что)
Ответ дал: a270411
0

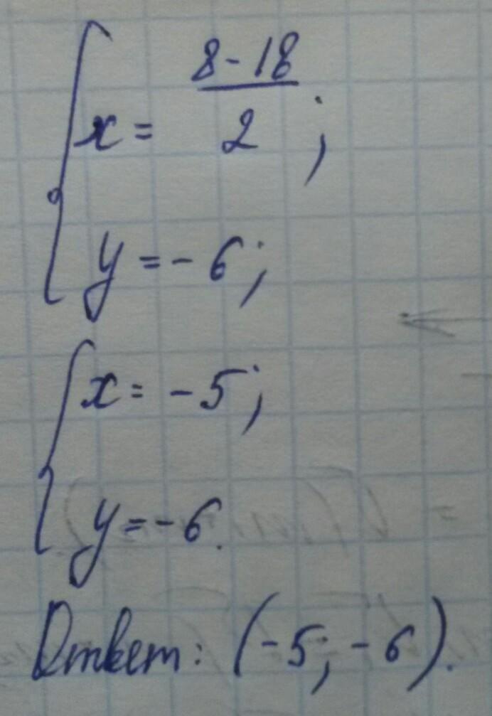
Это я решила методом сложения

Приложения:
Ответ дал: SREGsRag
0
спасибо
Ответ дал: a270411
0
Пожалуйста)))
Вас заинтересует