• Предмет: Математика
  • Автор: dasha82712
  • Вопрос задан 8 лет назад

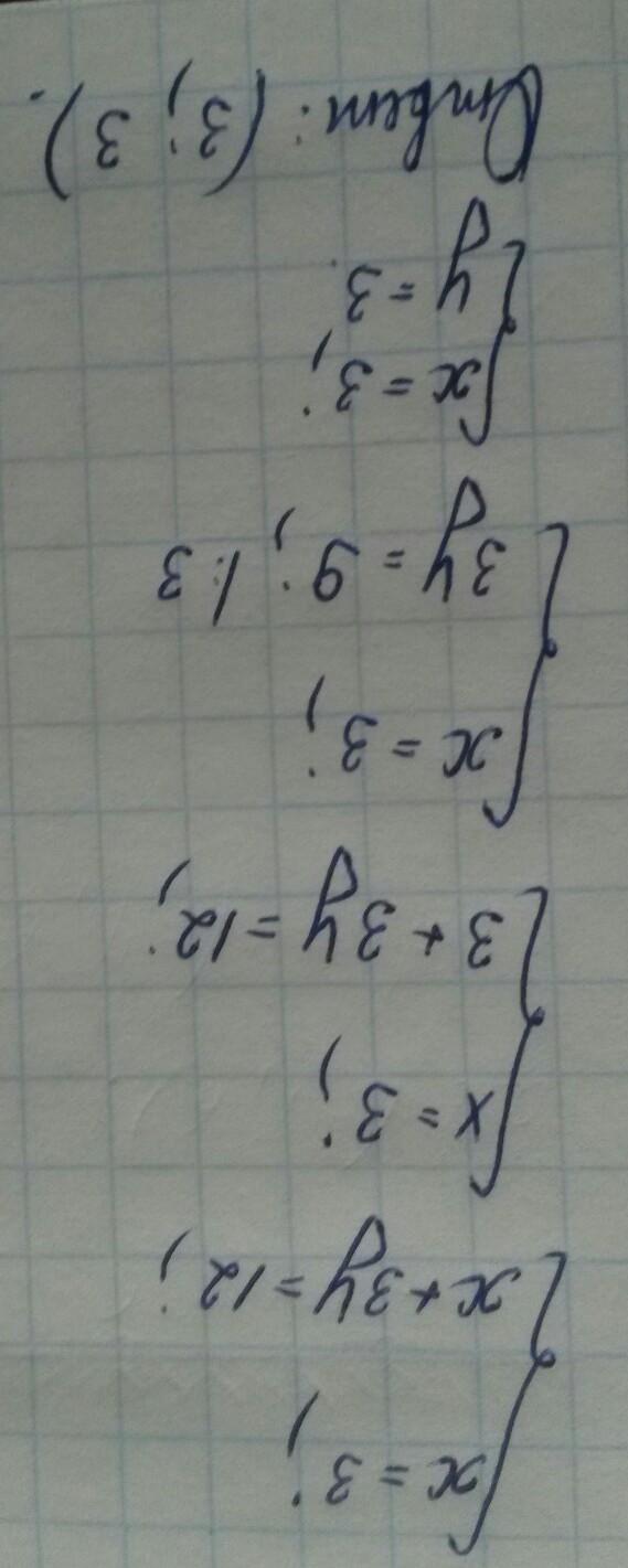
решите систему уравнения способом сложения х+3у=12 и 4х+2у=18​

Ответы

Ответ дал: ХЕЛИКОПТЕР
0

Вот решение системы способом сложения.

Приложения:
Ответ дал: dasha82712
0
спасибо большое!
Ответ дал: ХЕЛИКОПТЕР
0
не за что
Вас заинтересует