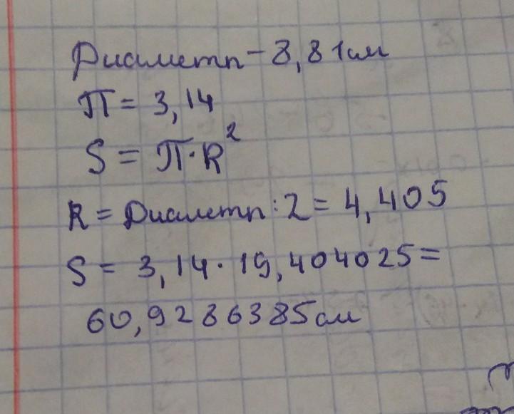
Диаметр сферы равен 8,81 см. Значение числа π≈3,14.
Определи площадь S этой сферы (с точностью до сотых).
S =
см²
Ответы
Ответ дал:
0
Вот извини нл дт сотых не округляла
Приложения:

Вас заинтересует
2 года назад
3 года назад
3 года назад
8 лет назад
8 лет назад
9 лет назад