Ответы
Ответ дал:
0
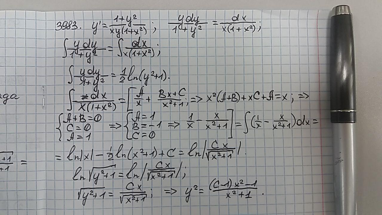
Рассмотрите предложенное решение этого ДУ; есть возможность разделить переменные.
Общий интеграл (предпоследнее выражение) был упрощён.
Приложения:

Ответ дал:
0
В предпоследней строке ошибка - числитель второй дроби не 1, а "х"! Просьба вернуть на исправление.
Вас заинтересует
2 года назад
3 года назад
8 лет назад
8 лет назад
9 лет назад