Ответы
Ответ дал:
0
Ну якось так)))) Надіюсь правельно)))
Приложения:

Ответ дал:
0
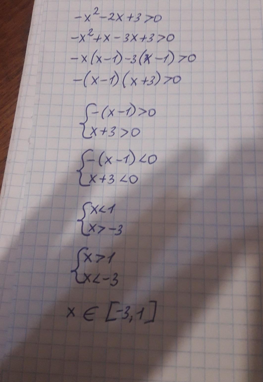
Ответ:
-x²-2x+3>0|*(-1)
x²+2x-3>0
D=b²-4ac=2²-4*1*(-3)=4+12=16
x=( -b плюс або мінус корінь квадратний з дискрімінанти)/2a
x1=(-2+4)/2=2:2=1
х2=(-2-4)/2= -6:2= -3
Тому x>1, x>-3 і нерівність дійсна на проміжку (1;+нескінченності)
Объяснение:
Сподіваюся, що правильно)
Приложения:

Ответ дал:
0
Здається, що сама в себе знайшла помилку...при домножуванні нерівності на -1 знак мав змінитися з більше на менше...тому мала бути нерівність : -x²-2x+3>0|*(-1)
x²+2x-3<0
D=b²-4ac=2²-4*1*(-3)=4+12=16
x=( -b плюс або мінус корінь квадратний з дискрімінанти)/2a
x1=(-2+4)/2=2:2=1
х2=(-2-4)/2= -6:2= -3
х<1 на проміжку з мінус нескінченності до 1 х< -3на проміжку з мінус нескінченності до -3 Тому для обох значень х (x<1, x<-3) нерівність дійсна на проміжку (-нескінченність; -3)
x²+2x-3<0
D=b²-4ac=2²-4*1*(-3)=4+12=16
x=( -b плюс або мінус корінь квадратний з дискрімінанти)/2a
x1=(-2+4)/2=2:2=1
х2=(-2-4)/2= -6:2= -3
х<1 на проміжку з мінус нескінченності до 1 х< -3на проміжку з мінус нескінченності до -3 Тому для обох значень х (x<1, x<-3) нерівність дійсна на проміжку (-нескінченність; -3)
Ответ дал:
0
Здаюся...перечитала всі правила ...нерівність дійсна на проміжку від -3 до 1, але не включає ці значення...через те, що при таких значеннях змінної значенням буде 0 і нерівність перестане бути нерівністю...стане рівністю....тому Богдан помилився лише з дужками,- вони мають бути круглі, а не квадратні...
Ответ дал:
0
Дякую що ти сказала надіюся в мене більше не буде таких помилок)))))) Дуже дякую за підзказку)))
Вас заинтересует
2 года назад
3 года назад
3 года назад
8 лет назад
8 лет назад
9 лет назад
9 лет назад