Ответы
Ответ дал:
0
Ответ:
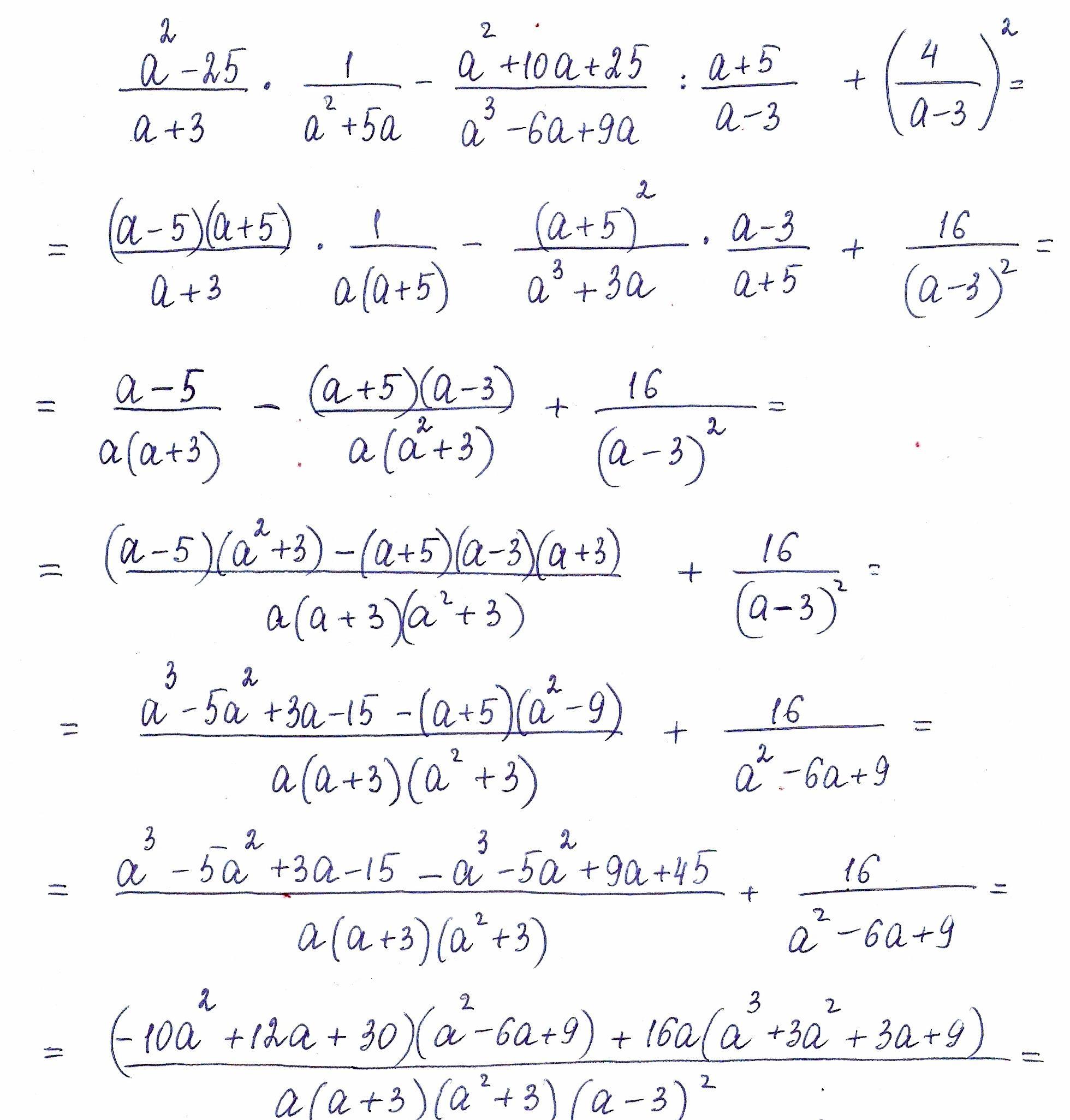
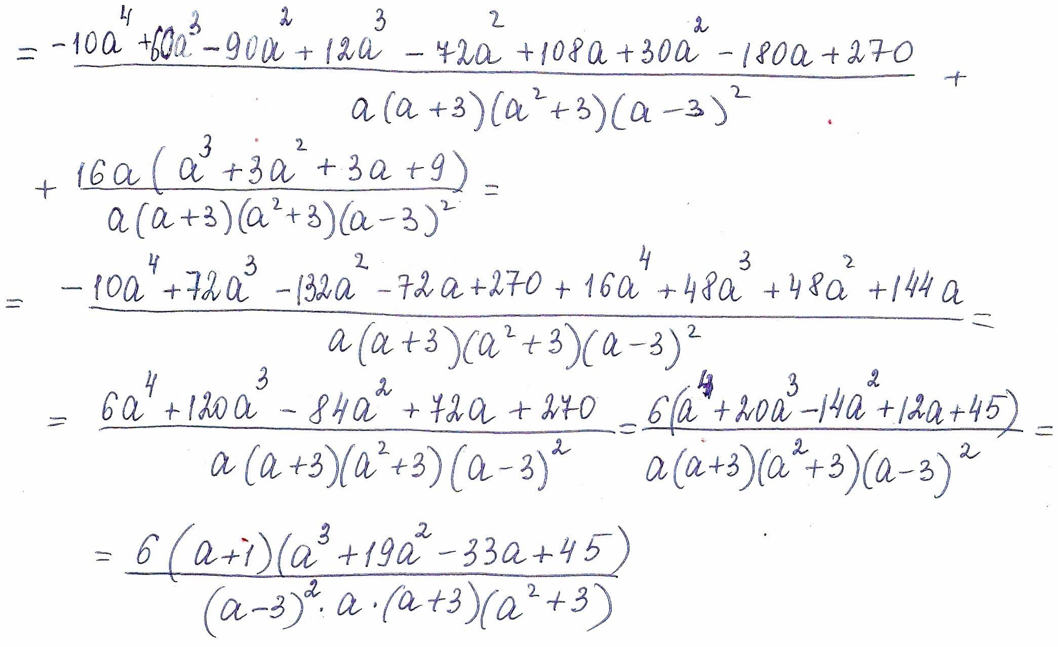
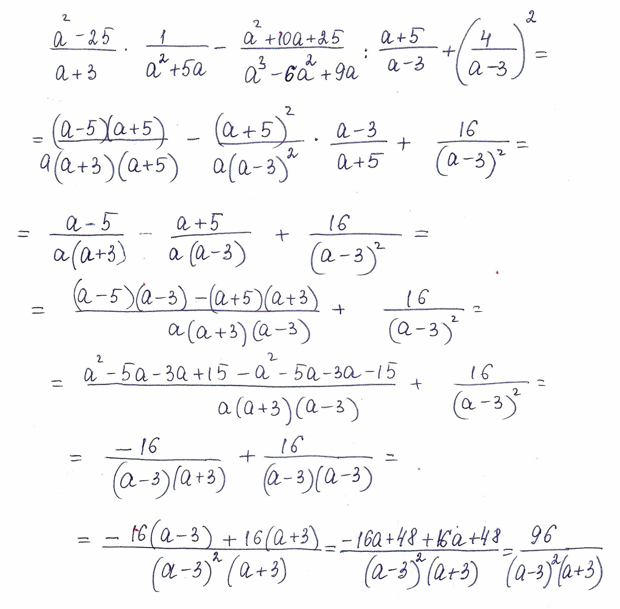
Объяснение:
ответ на фото\\\\\\\\\\\\\\\\\\\\\\\\\\\\\\
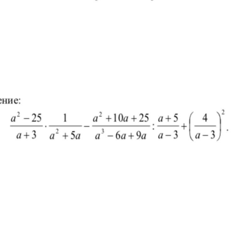
на 3 фото решение, если условие такое http://prntscr.com/noq7di
Приложения:



Вас заинтересует
2 года назад
2 года назад
3 года назад
3 года назад
8 лет назад
9 лет назад