• Предмет: Алгебра
  • Автор: СеМ123
  • Вопрос задан 8 лет назад

Решите уравнение, много баллов, отмечу лучшим
*Нужно только первое

Приложения:

Ответы

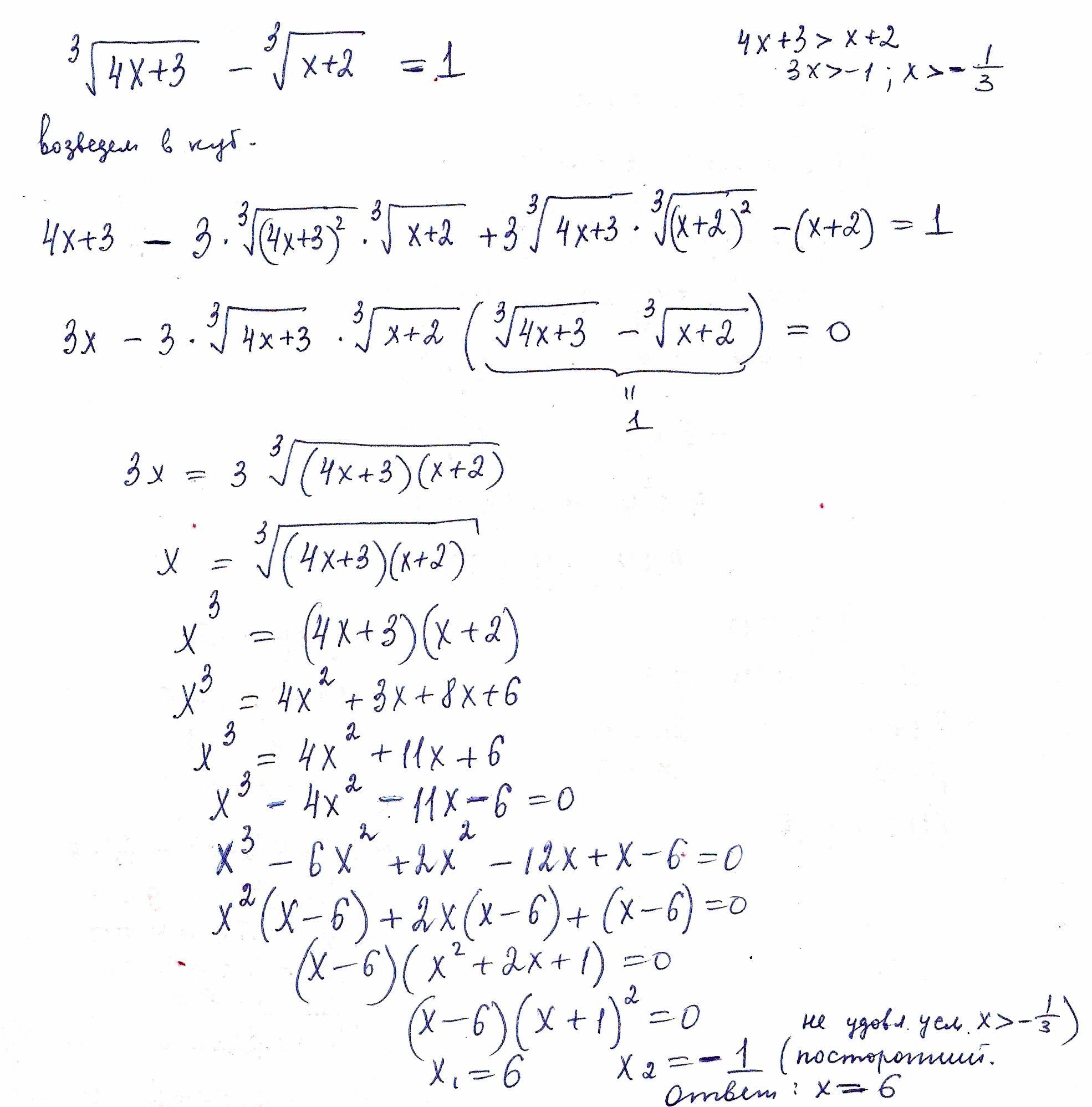
Ответ дал: maksimcat
0

Ответ:

6

Объяснение:

ответ на фото\\\\\\\\\\\\\\\\\\\\\\\\\\\\\\\\\\\\\

Приложения:
Вас заинтересует