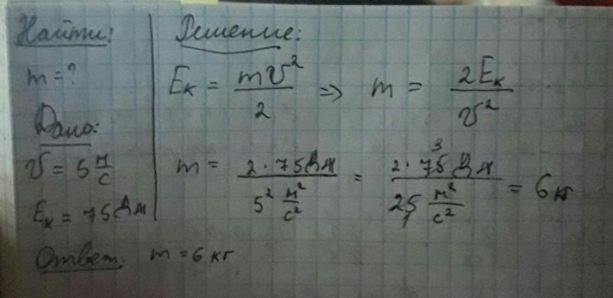
Физика ,какова масса тела Движущегося со скоростью 5м/с,если его кинетическая энергия равна 75Дж
Ответы
Ответ дал:
0
Решение на фотографии
Приложения:
Вас заинтересует
2 года назад
2 года назад
3 года назад
3 года назад
9 лет назад
9 лет назад
10 лет назад