• Предмет: Алгебра
  • Автор: NelliVol26
  • Вопрос задан 8 лет назад

крайне срочно!!!
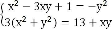
1. Решите систему уравнений
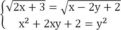
2. Решите систему уравнений

Приложения:

Ответа на этот вопрос пока нет. Попробуйте найти его через форму поиска.

Вас заинтересует