Ответы
Ответ дал:
0
Ответ:
Объяснение:
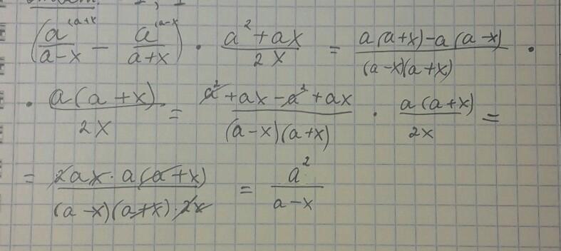
1. (a/(a-x)-a/(a+x)=(a*(a+x)-a*(a-x)/((a-x)*(a+x))=
=(a²+ax-a²+ax)/((a-x)*(a+x))=2ax/((a-x)*(a+x)).
2.2ax/((a-x)*(a+x))*(a²+ax)/(2x)=2ax*(a*(a+x))/(2x*(a-x)*(a+x))=a²/(a-x).
Ответ дал:
0
здраствуйте, спасибо вам . извините что я у вас спрашиваю . Вы можете этот ответ написать на листочке , сфотографировать и отправить мне
Ответ дал:
0
Решение на фотографии.
Приложения:

Вас заинтересует
2 года назад
3 года назад
3 года назад
8 лет назад
8 лет назад
9 лет назад