• Предмет: Математика
  • Автор: bigboss681
  • Вопрос задан 8 лет назад

помогите пожалуйста.заранее спасибо!​

Приложения:

Ответы

Ответ дал: setaz213
0

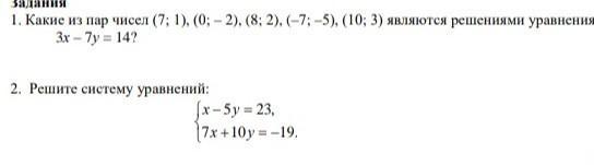
1)

(7;1) 3×7-7×1 =14

21-7=14

14=14 - является

(0;-2) 3×0-7(-2)=14

0+14 = 14

14=14 - является

(8;2) 3×8-7×2 =14

24-14 = 14

10≠14 - не является

(-7;-5) 3×(-7)-7×(-5) = 14

-21+35 = 14

14 = 14 - является

(10;3) 3×10-7×3=14

30-21 = 14

9 ≠ 14 - не является

2)

x - 5y = 23 \ 7x + 10y =  - 19

Умножим первое уравнение на 2 а второе на 1, получим

2x - 10y = 46 \ 7x + 10y =  - 19

Применим метод алгебраического сложения, получим

9x = 27

Реши уравнение с 1 переменной, получим

x = 3

Подставим значение х в первое уравнение системы, получим

3 - 5y = 23

Решим уравнение с 1 переменной получим

 - 5y = 20 \ y =  - 4

Ответ: (3;-4)

Ответ дал: setaz213
0
не заметил
Ответ дал: love67
0
)))))
Ответ дал: love67
0
а 7 и1??
Ответ дал: love67
0
было бы проще,если бы вы не методом подора решили
Ответ дал: love67
0
подбора)))
Вас заинтересует