помогите, пожалуйста!!!
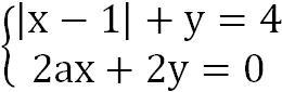
1. При каких значениях параметра а система уравнений не имеет решений?
2. постройте график
Приложения:
Ответа на этот вопрос пока нет. Попробуйте найти его через форму поиска.
Вас заинтересует
2 года назад
2 года назад
3 года назад
3 года назад
9 лет назад
10 лет назад
10 лет назад